KINETIK GAS DAN TERMODINAMIKA (soal dan pembahasan)

1.      Partikel-partikel gas ideal mempunyai sifat-sifat sebagai berikut, kecuali ... .
a. selalu bergerak
b. tidak saling menarik
c. bertumbukan lenting sempurna
d. tersebar merata di seluruh bagian ruangan yang ditempati
e. tidak mengikuti Hukum Newton tentang gerak
jawab: E

2.      Pada Hukum Boyle, P.V = k, P adalah tekanan dan V adalah volume. Konstanta k mempunyai dimensi yang sama dengan ... .
a. daya                  d. suhu
b. usaha                 e. konstanta pegas
c. momentum
jawab: b

3.      Jika gas ideal dimampatkan secara isotermis sehingga volumenya menjadi setengahnya, maka ... .
a. tekanan dan suhu tetap
b. tekanan menjadi dua kali lipat dan suhu tetap
c. tekanan tetap dan suhu menjadi dua kali
d. tekanan menjadi dua kali dan suhu menjadi setengahnya
e. tekanan dan suhu menjadi setengahnya
jawab: B


4.      Diketahui volume tabung B dua kali volume tabung A. Keduanya terisi gas ideal. Volume tabung penghubung dapat diabaikan. Gas A berada pada suhu300 K. Bila jumlah molekul dalam A adalah N dan jumlah molekul B adalah 3N, maka suhu gas dalam tabung B adalah ... .

a. 150 K                 d. 450 K
b. 200 K                 e. 600 K
c. 300 K
jawab: B


5.      Suatu jenis gas mempunyai volume 100 cm3 pada suhu 0°C dan tekanan1 atm. Jika temperatur menjadi 50 oC, sedangkan tekanan menjadi 2 atm, maka volume gas menjadi ... .
a. 38,4 cm³           d. 84,5 cm³
b. 45,5 cm³           e. 118,3 cm³
c. 59,2 cm³
JAWAB:

6.      Pada keadaan normal (T = 0 oC dan P = 1 atm) 5 gram gas argon (Ar = 40) mempunyai volume sebesar ... . (1 atm = 105 N/m², R = 8,314 J/K.mol)
a. 1,4 x 10- 6 m³     d. 28 m³
b. 2,8 x 10-3 m³     e. 224 m³
c. 22,4 x 10-3
JAWAB:
Saat STP (0OC , 1 atm)
V = n.22,4 liter
V = (5/40) . 22,4 = 2,8 liter = 2,8 . 10-3 m3

7.      Suatu gas ideal, dalam suatu ruang tertutup bersuhu 27ºC. Untuk mengubah energi kinetik partikelnya menjadi 2 Ek, suhu gas harus dijadikan ... .
a. 37 oC                d. 327 oC
b. 45 oC                e. 927 oC
c. 310 oC
8.      Sebanyak 4 gram gas neon dengan massa molekul 6 g/mol bersuhu 38 °C. Jika tekanannya 1,8x 105 Pa, maka energi dalam gas adalah ... . (Diketahui k =1,38 x 10-23 J/K, NA = 6,02x10-23 molekul/mol).
a. 2,28 x 103 J
b. 3,12 x 103 J
c. 3,85 x 103 J
d. 4,23 x 103 J

e. 5,16 x 103 J
jawab:

9.      Tangki berisi gas mula-mula bersuhu 200 K dipanasi hingga bersuhu 300o K. Jika jumlah partikel gas mula-mula 2 mol, maka agar energi dalam tidak berubah, kran harus dibuka sekejap hingga sebagian partikel gas keluar sejumlah ... .
a.1/2 mol              d.2/3 mol
b. 1/3 mol                         e.3/4 mol
c.1/4 mol
jawab:

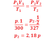
10.  Suatu gas ideal pada tekanan atmosfir p dan suhu 27 °C dimampatkan sampai volumenya setengah kali dari semula. Jika suhunya dinaikkan menjadi 54 °C, berapakah tekanannya?
a. 0,25 p               d. 2 p
b. 0,54 p               e. 2,18 p
c. 1 p



11.  Pada hukum Boyle P . V = k, k mempunyai dimensi . . . .
a. daya                d. suhu
b. usaha               e. konstanta pegas
c. momentum linear
jawab: B (Usaha)

12.  Rapat massa (perbandingan massa dan volume) suatu gas ideal pada suhu T dan tekanan p adalah ρ. Jika tekanan gas tersebut dijadikan 2p dan suhunya diturunkan menjadi 0,5 T maka rapat massa gas menjadi . . . .
a. 4            d. 0,25
b. 2            e. 0,12
c. 0,50
jawab: A

13.  Suatu gas ideal pada 300 K dipanaskan dengan volume tetap, sehingga energi kinetik rata-rata dari molekul gas menjadi dua kali lipat. Pernyataan berikut ini yang tepat adalah . . .
a. Kecepatan rms rata-rata dari molekul menjadi dua kali.
b. Suhu berubah menjadi 600 K.
c. Momentum rata-rata dari molekul menjadi dua kali.
d. Suhu berubah menjadi 300 ² K.
e. Kecepatan rata-rata molekul menjadi dua kali.
Jawab: b

14.  Untuk melipatgandakan kecepatan rms molekul-molekul dalam suatu gas ideal pada 300 K, suhu sebaiknya dinaikkan menjadi . . . .
a. 327 K                 d. 1.200 K
b. 424 K                 e. 90.000 K
c. 600 K


15.   0,5 mgas dipanaskan pada proses isobaris volumenya menjadi 2 m3. Jika usaha luar gas tersebut 3 × 105 joule besar tekanan gas sekarang adalah . . . .
a. 6 × 105 N/m²
b. 2 × 105 N/m²
c. 1,5 × 105 N/m²
d. 8 × 105 N/m²
e. 3 × 105 N/m²
jawab:
W = P . ΔV
3 × 105 = P . (2 – 0,5)
P = 1,5 × 105 N/m²

16.  Besar energi dalam 4 mol gas monoatomik pada suhu 400 K adalah . . . (R = 8,31 J/ mol K).
a. 6,332 J              d. 33,240 J
b. 19,944 J            e. 34,327 J
c. 24,825 J
jawab:
U = 3/2 . n . R . T = 3/2 .4.  8,31 . 400 = 19 944 J

17.  Agar kecepatan rms partikel gas menjadi 3 kali lipat dari awal, suhunya harus ditingkatkan menjadi . . . semula.
a. sama                d. 9 kali
b. 1,5 kali              e. 12 kali
c. 6 kali
jawab: D (32 = 9)

18.  Sebuah tabung berisi gas monoatomik kemudian dipompakan gas yang sama sehingga tekanannya berubah menjadi 3 kali vulome semula. Besar perubahan energi dalam gas tersebut jika proses isotemis adalah . . . .
a. nol                                d. 6 kali semula
b. 1,5 kali semula                         e. 9 kali semula
c. 3 kali semula
jawab: C

19.  Hukum I Termodinamika menyatakan bahwa . . . .
a. kalor tidak dapat masuk ke dalam dan ke luar dari suatu sistem
b. energi adalah kekal
c. energi dalam adalah kekal
d. suhu adalah tetap
e. sistem tidak mendapat usaha dari luar
jawab: C

20.  Dua bejana A dan B volumenya sama berisi udara yang suhu dan massanya sama.  bejana A dipanaskan secara isobaris sedangkan udara di dalam bejana B dipanaskan pada proses isokhoris. Jika besar kalor yang diberikan pada bejana A dan B  sama maka . . . .
a. kenaikan suhu udara di A dan di B sama
b. perubahan energi dalam di A dan di B sama
c. kenaikan suhu udara di A lebih kecil dari di B
d. kenaikan suhu udara di A lebih besar dari di B
e. salah semua
jawab: C
pada bejana B usaha bernilai nol karena proses isokhoris (V = tetap) sehingga kalor spenuhnya untuk perubahan energi dalam ( suhu), sedangkan pada bejana A kalor sebagian berubah menjadi usaha dan energi dalam. Jadi suhu di B lebih besar.

21.  Sejumlah gas ideal dengan massa tertentu mengalami pemampatan secara adiabatik. jika W adalah kerja yang dilakukan oleh sistem (gas) dan ΔT adalah perubahan suhu dari sistem maka berlaku keadaan . . . .
a. W = 0, ΔT > 0                         d. W < 0, ΔT > 0
b. W = 0, ΔT < 0                         e. W < 0, ΔT = 0
c. W > 0, ΔT = 0
jawab: E ( saat sistem melakukan kerja W bernilai NEGATIF dan PERUBAHAN SUHU NOL)

22.  Sebuah mesin Carnot bekerja di antara  2 reservoir bersuhu tinggi 527 °C dan suhu rendah 127 °C. Jika reservoir suhu tinggi diturunkan menjadi 500 K, maka efisiensi awal dan terakhir adalah . . . .
a. 20% dan 30%
b. 20% dan 40%
c. 20% dan 50%
d. 30% dan 50%
e. 50% dan 20%
jawab: E

23.  Sebuah mesin Carnot yang menggunakan reservoir suhu tinggi 800 K mempunyai efisiensi sebesar 40%. Agar efisiensinya naik menjadi 50%, suhu reservoir suhu tinggi dinaikkan menjadi . .
a. 900 K     d. 1.180 K
b. 960 K     e. 1.600 K
c. 1.000 K

JAWAB = B
T1‘ (1 – η‘) = T1 ( 1 – η)
T1‘ (1 – 0,5) = T1 ( 1 – 0,4)
T1‘ . 0,5 = 800 . 0,6
T1‘ = 960 k


24.  Sebuah mesin bekerja pada reservoir bersuhu tinggi 500 K dan reservoir bersuhu rendah 350 K. Mesin tersebut menghasilkan usaha sebesar 104 joule. Efisiensi mesin tersebut adalah . . . .
a. 30 %      d. 66 %
b. 33 %      e. 70 %
c. 42 %

25.  Suatu mesin menyerap 150 kalori dari reservoir 400 K dan melepas 90 kalori ke reservoir bersuhu 200 K. Efisiensi mesin tersebut adalah . . . .
a. 30 %      d. 60 %
b. 40 %      e. 80 %
c. 50 %

0 Response to "KINETIK GAS DAN TERMODINAMIKA (soal dan pembahasan)"

Post a Comment

Iklan Atas Artikel

Iklan Tengah Artikel 1

Iklan Tengah Artikel 2

Iklan Bawah Artikel